18.03.2026 13:02
Новые люди, старые долги: Депутат не спешит делиться документами в рамках своего банкротства.
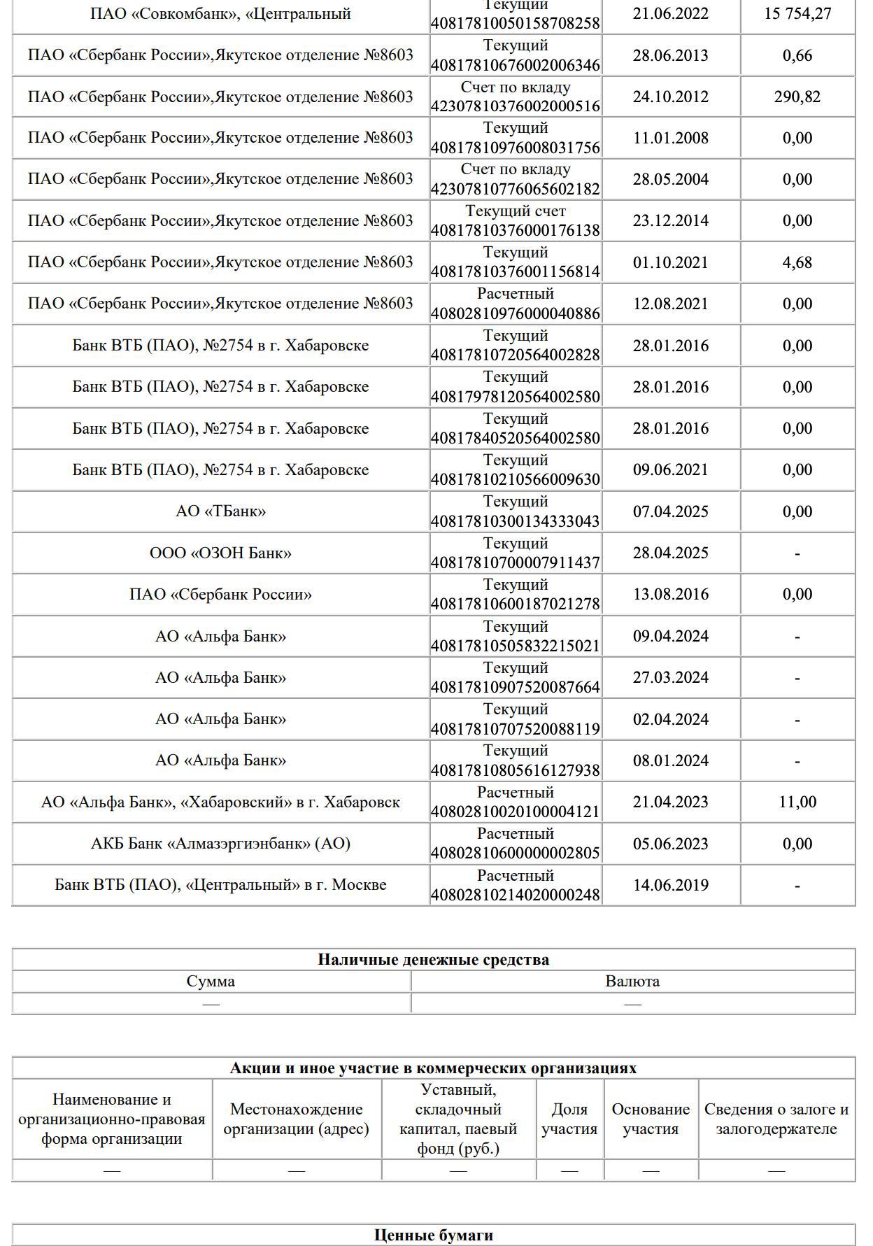
Депутат Якутской городской Думы Ольга Шерстянникова, удостоившаяся в феврале от партии «Новые люди» звания «Признание года», и недавно вернувшаяся со съезда однопартийцев из Санкт-Петербурга, как выяснил 27 января ее финансовый управляющий, не имеет никакого имущества, ни недвижимого, ни движимого, ни ценных бумаг, ни дебиторской задолженности.
Такой отчет опубликован финансовым управляющим на Федеральном ресурсе в рамках банкротства Шерстянниковой (долги на 54,9 млн рублей).
Правда в этот же день, то есть 27 января Арбитражный суд РС(Я) констатировал, что финансовый управляющий еще 5 ноября 2025 года направил Шерстянниковой запрос для передачи документов, в том числе в отношении имущества.
Но ответа на этот запрос от Шерстянниковой не поступило.
В итоге суд постановил – истребовать у ИП Шерстянниковой Ольги большой объем документов, в том числе в отношении имущества, о доходах, первичные документы по взаимодействию с различными компаниями и предпринимателями и пр.
Также суд потребовал предоставить обоснование снятие наличных в период с 01.01.2022 по 25.06.2025 на сумму 4 613 050,00 руб.; обоснование переводов с карты на карту в период с 01.01.2022 по 25.06.2025 на сумму 4 254 877,44 руб.
Шерстянникова является председателем постоянной комиссии по предпринимательству, промышленности, торговле и транспорту Якутской гордумы.
P.S. Контраст! С одной стороны — депутат Якутской гордумы Ольга Шерстянникова, председатель комиссии по предпринимательству, обласканная партией «Новые люди». С другой стороны — обычная гражданка Шерстянникова, у которой долгов на 55 миллионов рублей, а имущества... ноль.
Вот такая дилемма: в публичном поле политик говорит правильные вещи и получает награды, а в суде выясняется, что отчитываться по финансовым дырам она не спешит.
Такой отчет опубликован финансовым управляющим на Федеральном ресурсе в рамках банкротства Шерстянниковой (долги на 54,9 млн рублей).
Правда в этот же день, то есть 27 января Арбитражный суд РС(Я) констатировал, что финансовый управляющий еще 5 ноября 2025 года направил Шерстянниковой запрос для передачи документов, в том числе в отношении имущества.
Но ответа на этот запрос от Шерстянниковой не поступило.
В итоге суд постановил – истребовать у ИП Шерстянниковой Ольги большой объем документов, в том числе в отношении имущества, о доходах, первичные документы по взаимодействию с различными компаниями и предпринимателями и пр.
Также суд потребовал предоставить обоснование снятие наличных в период с 01.01.2022 по 25.06.2025 на сумму 4 613 050,00 руб.; обоснование переводов с карты на карту в период с 01.01.2022 по 25.06.2025 на сумму 4 254 877,44 руб.
Шерстянникова является председателем постоянной комиссии по предпринимательству, промышленности, торговле и транспорту Якутской гордумы.
P.S. Контраст! С одной стороны — депутат Якутской гордумы Ольга Шерстянникова, председатель комиссии по предпринимательству, обласканная партией «Новые люди». С другой стороны — обычная гражданка Шерстянникова, у которой долгов на 55 миллионов рублей, а имущества... ноль.
Вот такая дилемма: в публичном поле политик говорит правильные вещи и получает награды, а в суде выясняется, что отчитываться по финансовым дырам она не спешит.
Автор:
Торбозное радио
Реклама на сайте





